リニア・テック

ログイン

カート

ホーム理論メモ自然数,整数,有理数,無理数,実数,複素数

自然数,整数,有理数,無理数,実数,複素数

インデックス

数学の基本である「数」には,いくつかの分類があります.ここでは,もっとも素朴な「自然数」から出発して,四則演算が自由にできる「有理数」や「実数」を導入します.さらに,$n$次方程式のすべての解を表すために「複素数」を考えます.このように,一段階ずつ数を拡張する流れを見ていきます.

自然数

「自然数」(natural number)とは,“$1,\ 2,\ 3,\ \cdots \ $” のように「ものを数える数」あるいは「順序を表す数」を指します.自然数全体の集合は “$\mathsf{N}$” や “$\mathbb{N}$” といった文字で表します.

$\mathsf{N} \ = \ \left\{ \ 1,\ 2, \ 3, \ \cdots \ \right\}$

単に「自然数」と言った場合,“$1$” や “$2$” などの「個々の自然数」を指すこともあれば,「自然数全体の集合」“$\mathsf{N}$” を指すこともあります.これは,後で扱う「整数」や「有理数」についても同様です.

なお,物がまったく無い状態は「$0$ 個」と表せるため,“$0$” を自然数に含めることもあります.自然数が “$0$” から始まるか “$1$” から始まるかは,その場の状況や文脈によって異なります.

$\mathsf{N} \ = \ \left\{ \ 0,\ 1,\ 2, \ 3, \ \cdots \ \right\}$ ($0$を含める場合)

「自然数」という言葉を使う時は,あらかじめ “$0$” を含めるか否かを明示・確認することをおすすめします.

整数

「整数」(integer)とは,自然数(“$1,\ 2,\ 3,\ \cdots \ $”)と “$0$”,そして負の数 “$-1,\ -2,\ -3,\ \cdots \ $” をあわせたものを指します.整数全体の集合は “$\mathsf{Z}$” や “$\mathbb{Z}$” で表します.これは,ドイツ語で「数」を表す単語 "Zahl"(ツァール)の頭文字です.

$\mathsf{Z} \ = \ \left\{ \ \cdots, \ -3,\ -2,\ -1,\ 0,\ 1,\ 2,\ 3,\ \cdots \ \right\}$

先に考えた「自然数」“$\mathsf{N}$” の範囲では,“$2-3=-1$” や “$15-20=-5$” といった「計算結果が負になる引き算」を定義できません(自然数だけでは負の計算結果を表現できない).整数 “$\mathsf{Z}$” の範囲まで数を拡張することで,はじめて「加算」と「減算」を考えることができます.なお,減算は「負の数の加算」なので,これ以降は加減算をまとめて「加算」と呼びます.

整数どうしの「乗算」(かけ算)の結果は,やはり整数になります.よって,整数全体の集合は加算と乗算について「閉じている」ことになります.このように,「加算と乗算について閉じている集合」のことを「環」(かん,ring)と呼びます.整数は「環」の一例です(「整数環」という).

有理数

「有理数」の定義

「有理数」(rational number)とは,整数 “$a$” と “$b$” ($b\neq 0$)を使って “$a/b$” という形で表される数を指します.有理数全体の集合は “$\mathsf{Q}$” や “$\mathbb{Q}$” で表します.

$\begin{eqnarray*}\mathsf{Q} \ = \ \left\{ \ \left. \cfrac{a}{b} \ \ \right| \ \ a\in \mathsf{Z}, \ b \in \mathsf{Z},\ b \neq 0 \ \right\} \end{eqnarray*}$

“ratio”(レシオ) という英単語には「比」という意味があることから,“rational number” は「比の数」だと解釈できます.これは上の有理数 “$\mathsf{Q}$” の定義と整合します.一方で,“rational” (ラショナル)という英単語には「合理的な」とか「理のある」といった意味もあります.そのため,“rational number” を直訳した「有理数」という用語が広まったものと考えられます.とはいえ,本質的な意味合いとしては「比の数」とか「有比数」と言ったほうが妥当です.なお,有理数全体を表す “$\mathsf{Q}$” は「商」や「比」を表す英単語 “Quotient”(クォシャント)の頭文字です.

先に考えた「整数」“$\mathsf{Z}$” の範囲では,“$1\div 2$” や “$3\div 5$” といった「結果が整数にならない割り算」を定義できません.有理数 “$\mathsf{Q}$” の範囲まで数を拡張することで,はじめて「除算」(割り算)を考えることができます.有理数全体の集合 “$\mathsf{Q}$” は,加算・減算・乗算・除算を合わせた「四則演算」を自由に行うことができます.このように「四則演算について閉じている集合」のことを「体」(たい,field)といいます.有理数は「体」の一例です(「有理数体」という).

「有限小数」は有理数に含まれる

有理数とは,2つの整数 “$a$” と “$b\neq 0$” を使った分数 “$a/b$” として表される数のことでした.分数は,“$1/5 = 0.2$” や “$3/4 = 0.75$” のように「小数」としても表せます.特に,小数部の桁数が有限である小数を「有限小数」といいます.いま挙げた “$0.2$” や “$0.75$” は有限小数です.

一般に,「有限小数は何らかの分数 “$a/b$” の形で表せる」つまり「すべての有限小数は有理数である」ことが知られています.これを簡単に確認してみます.

まず,小数部の桁数が “$n$” である小数を次のように表すことにします.ただし,各桁の値は “$0 \le a_i \ \le 9 $”($0 \le i \le n$) を満たすとします.

$a_0 \ . \ a_1 \ a_2 \ \cdots \ a_n$

上式の小数は,次のようにも表せます.

$\begin{eqnarray*}a \ . \ a_1 \ a_2 \ \cdots \ a_n \ &=& \ a + \cfrac{a_1}{10} + \cfrac{a_2}{100} + \cdots + \cfrac{a_n}{10^n} \\ \ &=& \ \cfrac{10^n \cdot a \ + \ 10^{n-1} \cdot a_1 \ + \ 10^{n-2} \cdot a_2 \ + \ \cdots \ + \ a_n }{10^n}\end{eqnarray*}$

上式の最右辺において,分母と分子はともに整数です(各 “$a_i$” が整数だから).よって,「すべての有限小数は有理数である」ことが確認できました.

「循環小数」も有理数に含まれる

小数の中には,“$1/3$” のように小数部に「同じ数字」が無限に続くものがあります.

$\cfrac{1}{3} \ = \ 0 . 333333 \cdots$

また,“$1/7$” のように小数部に「同じ数字の列」(同じ数字のパターン)が無限に続くものもあります.

$\cfrac{1}{7} \ = \ 0 . 142857 \ 142857 \cdots $

このように,小数部のある桁から先で「同じ数字のパターンの繰り返し」が無限に続くものを「循環小数」といいます.循環小数は,循環する部分の最初と最後の数字の上に “$\cdot$”(黒丸)を付けて表記します.

たとえば,“$1/3$” は次のように表します.

$\cfrac{1}{3} \ = \ 0 . \dot{3}$

また,“$1/7$” は次のように表します.

$\cfrac{1}{7} \ = \ 0 . \dot{1} 4285 \dot{7}$

一般に,「循環小数は何らかの分数 “$a/b$” の形で表せる」つまり「すべての循環小数は有理数である」ことが知られています.これも証明してみましょう.

ここでは,次のように小数第“$m$”位までは循環せず,小数第“$m+1$”位から小数第“$m+n$”位までの数字のパターン($n$桁)が無限に繰り返される循環小数を考えます.

$a_0 . a_1 a_2 \cdots a_m \ \dot{b_1} \cdots \dot{b_n}$

上式の “$a_0 . a_1 \cdots a_m$” の部分(循環しない部分)は「有限小数」であり,これが有理数であることは先に確認しました.よって,「残りの循環する部分」が分数で表されることを確認すれば証明完了です.この部分を “$x$” とおきます.

$x \ = \ 0 . 00 \cdots 0 \ \dot{b_1} \cdots \dot{b_n}$

この循環小数 “$x$” は次のように展開できます.なお,次式の各行は循環する部分の1ブロック分($n$桁分)に対応しています.

$\begin{eqnarray*} x \ &=& \ \left( \cfrac{b_1}{10^{m+1}} + \cfrac{b_2}{10^{m+2}} + \cdots + \cfrac{b_n}{10^{m+n}} \right) \\ \ &+& \ \left( \cfrac{b_1}{10^{m+n+1}} + \cfrac{b_2}{10^{m+n+2}} + \cdots + \cfrac{b_n}{10^{m+2n}} \right) \\ \ &+& \ \left( \cfrac{b_1}{10^{m+2n+1}} + \cfrac{b_2}{10^{m+2n+2}} + \cdots + \cfrac{b_n}{10^{m+3n}} \right) \\ \ &+& \ \cdots \end{eqnarray*}$

上式を見やすくするために,次の “$y$” を定義します.

$\begin{eqnarray*}y \ &=& \ \cfrac{b_1}{10^{-n+1}} + \cfrac{b_2}{10^{-n+2}} + \cdots + b_n \end{eqnarray*}$

この “$y$” を使うと,上の “$x$” の式の “$i$” 行目は次のように表せます.

$\begin{eqnarray*} \cfrac{b_1}{10^{m+(i-1)n+1}} + \cfrac{b_2}{10^{m+(i-1)n+2}} + \cdots + \cfrac{b_n}{10^{m+in}}\end{eqnarray*} \ = \ \cfrac{y}{10^{m+in}} $

よって,循環小数 “$x$” は次のように表せます.

$\begin{eqnarray*}x \ &=& \ \cfrac{y}{10^{m+n}} + \cfrac{y}{10^{m+2n}} + \cfrac{y}{10^{m+3n}} + \cdots \\ \ &=& \ \cfrac{y}{10^{m+n}} \cdot \left( 1 + \cfrac{1}{10^n} + \cfrac{1}{10^{2n}} + \cdots \right) \end{eqnarray*}$

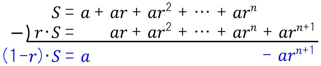
上式のカッコ内は,いわゆる「等比級数」(無限に続く等比数列の和)です.この部分を計算するために,初項 “$a$”,公比 “$r$” の等比数列 “$a,\ ar,\ ar^2,\ \cdots $” の総和を考えます.第$n+1$項 “$ar^n$” までの和を “$S$” とすると,“$S - r\cdot S$” は次のように計算できます.

上式より “$S$” は次式で表せます.

$S \ = \ a\cdot \cfrac{1-r^{n+1}}{1-r}$

もし “$|r| < 1$” なら “$r^n \to 0$”($n\to \infty$)となるので,等比級数の値は次式で表せます.

$a \ + \ ar \ + \ ar^2 \ + \ \cdots \ = \ \cfrac{a}{1-r}$

いま考えている等比級数は “$a=1$”,“$r=1/10^n$” なので,上式を利用すると次のように求められます.

$\begin{eqnarray*}1 \ + \ \cfrac{1}{10^n} \ + \ \cfrac{1}{10^{2n}} \ + \ \cdots \ &=& \ \cfrac{1}{1- \frac{1}{10^n}} \\ \ &=& \ \cfrac{10^n}{10^n - 1} \end{eqnarray*}$

上式を使うと,もともと考えていた循環小数 “$x$” は次のように表せます.

$\begin{eqnarray*}x \ &=& \ \cfrac{y}{10^{m+n}} \cdot \cfrac{10^n}{10^n - 1} \\ \ &=& \ \cfrac{y}{10^m \cdot \left(10^n - 1 \right)} \end{eqnarray*}$

上式より,循環小数は何らかの「分数」の形で表せます.よって,「すべての循環小数は有理数である」ことを証明できました.

無理数

「無理数」の定義

「無理数」(irrational number)とは,「有理数ではない数」つまり「整数 “$a$” と “$b\neq 0$” を使って “$a/b$” の形で表せない数」を指します.有理数は「比で表せる数」ですが,これに対して無理数は「比で表せない数」すなわち「無比数」ということになります.

無理数は「整数」ではないので,何らかの小数部分を持ちます.また,先に確認したとおり小数部分が「有限」または「循環」する数は「有理数」に分類されます.よって,無理数は「循環せず無限に続く小数部分」を持ちます.

たとえば,“$\sqrt{2}$” は循環せず無限に続く小数部分を持つので無理数です.

$\sqrt{2} \ = \ 1 . 41421356 \cdots$

また,円周率 “$\pi$” も無理数であることが知られています.

$\pi \ = \ 3 . 14159265 \cdots$

“$\sqrt{2}$” が無理数であることの証明

上記の “$\sqrt{2}$” が「無理数」である,すなわち「“$a/b$” の形で表せない」ことを証明してみます.ここでは,「“$\sqrt{2}$” は “$a/b$” という形で表せる」と仮定して議論を展開すると最終的に矛盾が生じることを示します.いわゆる「背理法」です.

以下,“$a$” と “$b$” は $1$ 以外の共通する約数を持たない(つまり「互いに素」)整数とします.このとき,“$\sqrt{2}$” は次の形で表せると仮定します(背理法の仮定).

$\sqrt{2} \ = \ \cfrac{a}{b}$

上式の両辺を2乗して整理すると,次式が得られます.

$2b^2 \ = \ a^2$

上式より “$a^2$” は2の倍数だとわかります.“$a^2$” が2の倍数になるためには,整数 “$a$” 自体が2の倍数である必要があります.よって,“$x$” を整数として “$a = 2x$” と書くことができます.これを上式に代入すると,次のようになります.

$2b^2 \ = \ 4x^2$

上式より “$b^2 = 2 x^2$” という式が得られますが,先ほどと同様の議論により「“$b$” も2の倍数」だとわかります.

ここまでの話から,「“$a$” は2の倍数」であり「“$b$” も2の倍数」ということになりました.すると “$a$” と “$b$” は「共通する約数」として “$2$” を持ちます.しかし,これは最初に決めた「“$a$” と “$b$” は互いに素である」という条件に反します.このような矛盾が生じるのは,「“$\sqrt{2}$” は “$a/b$” という形で書ける」という仮定が間違っていたからだと考えられます.よって,「“$\sqrt{2}$” は無理数である」 と結論づけられます.

ここでは “$\sqrt{2}$” が無理数であることを示しましたが,まったく同じ手順で “$\sqrt{3}$” や “$\sqrt{10}$” が無理数であることも証明できます.

実数

「実数」の定義

「実数」(real number)とは,すべての「有理数」と「無理数」をあわせた数を指します.実数全体の集合は “$\mathsf{R}$” や “$\mathbb{R}$” で表します.(実数に関するより厳密な話は「極限」のセミナで扱う予定です.)

これまでに考えた整数 “$\mathsf{Z}$” や有理数 “$\mathsf{Q}$” は「途切れている数」あるいは「飛び飛びの数」です.実際,整数 “$\cdots ,\ -3,\ -2,\ -1,\ 0,\ 1,\ 2,\ 3,\ \cdots$” の間には「小数」(有理数や無理数)があり,各有理数の間には「無理数」があります.これに対して,実数 “$\mathsf{R}$” は途切れることがない「連続した数」としてイメージできます.これを実数の「連続性」あるいは「完備性」といいます.

実数のように「連続」な数を導入することで,はじめて「極限」に関する議論ができるようになります.技術者にとって重要な道具である 微分・積分 には極限の操作が含まれているので,実数を導入しないと「設計」や「分析」といった実務作業ができなくなってしまいます.このことから,物理学や工学の分野で位置 “$x$” とか電流 “$I$” などを扱う場合は,基本的に実数 “$\mathsf{R}$” の範囲で考えることになります.

実数 "$\mathsf{R}$" は,有理数 “$\mathsf{Q}$” と同じく「自由に四則演算ができる数」です.つまり,実数 “$\mathsf{R}$” は「四則演算について閉じている集合」であり,「体」の一種ということになります.このことから,実数全体の集合は「実数体」と呼ばれます.

「可算無限集合」と「非可算無限集合」の定義

自然数 “$\mathsf{N}$” や整数 “$\mathsf{Z}$”,有理数 “$\mathsf{Q}$”,実数 “$\mathsf{R}$” はすべて「無限個の要素を持つ集合」です.このような集合を「無限集合」といいます.

これらの無限集合の中で実数 “$\mathsf{R}$” だけが「連続」であり,「要素がぎっちり詰まった集合」といったイメージになります.このことから,実数 “$\mathsf{R}$” は特別であり,他の数と比べて「集合としてのサイズ」が違うように思えます.そこで,ここから先では無限集合どうしのサイズを比べる方法について考えてみます.

まず,「可算無限集合」という言葉を導入します.

各要素を自然数 “$\mathsf{N}$” と1対1で対応づけられる無限集合を「可算無限集合」という.

対象が明らかに無限集合だとわかる場合は,「無限」を省略して「可算集合」とも呼ばれます.また,可算無限集合の要素数を表すために「可算無限個」という言葉も使われます.

可算無限集合は,自然数全体の集合 “$\mathsf{N}$” と同じ程度の「濃さ」であると考えられます.これに対して,可算無限集合ではない無限集合は「非可算無限集合」といいます.同じ「無限」でも,非可算無限集合は「可算無限集合よりも濃い集合」としてイメージできます.

整数 “$\mathsf{Z}$” は「可算無限集合」

整数 “$n$” に対して,次のような関数 “$f(n)$” を考えます.

$\begin{eqnarray*} f(n) \ = \ \left\{ \begin{array}{ll} \ 2n & \ (n \ge 1) \\ \ -2n+1 & \ (n \le 0) \end{array} \right. \end{eqnarray*}$

各整数 “$n$” に対する “$f(n)$” の値を計算すると,次のようになります.

上記の表は,ごく一部の整数 “$n$” について書いたものです.これを無限に続けると,整数 “$n$”(上段)と自然数 “$f(n)$”(下段)が1対1で対応することがわかります.よって,整数 “$\mathsf{Z}$” は「可算無限集合」であると結論づけられます.

先に見たとおり,自然数 “$\mathsf{N}$” は整数 “$\mathsf{Z}$” の一部(部分集合)です.それにも関わらず「整数 “$\mathsf{Z}$” と自然数 “$\mathsf{N}$” は同じ濃度だ」と言われると,違和感があるかもしれません.これは,整数 “$\mathsf{Z}$” と自然数 “$\mathsf{N}$” が「無限個の要素」を持つことによります.一般に,「無限」が関わると人間の直感に反することが起きます(「無限」や「極限」が出てくると話がややこしくなる).

有理数 “$\mathsf{Q}$” も「可算無限集合」

有理数 “$\mathsf{Q}$” は,整数 “$a$” と “$b\neq0$” を使って “$a/b$” という形で表される数でした.そこで,次のように分母と分子の値を変化させながら並べていき,最初から順に “$1,\ 2,\ 3,\ \cdots$” と番号を付けていく様子を考えます.(ここでは分母と分子の絶対値の和が “$1$”,“$2$”,“$3$”,... と増えていくように書き並べています.)

$\cfrac{0}{1}, \ \cfrac{1}{1},\ \cfrac{-1}{1},\ \cfrac{1}{2},\ \cfrac{-1}{2},\ \cfrac{2}{1},\ \cfrac{-2}{1},\ \cfrac{1}{3},\ \cfrac{-1}{3},\ \cfrac{3}{1},\ \cfrac{-3}{1},\ \cdots $

上の数列は無限に続きますが,その各要素に対して自然数 “$\mathsf{N}$” を使って番号を振ることができます.よって,「有理数 “$\mathsf{Q}$” は自然数 “$\mathsf{N}$” と1対1で対応する」と言えます.すなわち,有理数 “$\mathsf{Q}$” も「可算無限集合」です.

さきほど確認したとおり,整数 “$\mathsf{Z}$” は「可算無限集合」でした.このことから,2つの整数を組み合わせて作る有理数 “$\mathsf{Q}$” もやはり「可算無限集合」(たかだか自然数 “$\mathsf{N}$” と同程度の「無限」)だと考えることもできます.

整数 “$\mathsf{Z}$” は有理数 “$\mathsf{Q}$” の部分集合ですが,これらの「濃さ」は同じ程度となります.例によって「無限」が関わる話では,このように直感に反することが生じます.

実数 “$\mathsf{R}$” は「可算無限集合」ではない

有名な「対角線論法」という方法を使って,実数 “$\mathsf{R}$” は「可算無限集合ではない」ことを示してみます.最初に「実数 “$\mathsf{R}$” は可算無限集合である」と仮定して矛盾を導く,おなじみ「背理法」の流れとなります.

ここでは “$0 < x < 1$” の範囲の実数だけを考察の対象とします.この範囲だけでも「可算無限集合ではない」と言えれば,実数 “$\mathsf{R}$” 全体も「可算無限集合ではない」と言えます.

最初に,「“$0 < x < 1$” の範囲の実数は可算無限集合である」と仮定します(背理法の仮定).すると「“$0 < x < 1$” の範囲のすべての実数」は自然数 “$\mathsf{N}$” と1対1で対応するので,「実数1,実数2,実数3,... 」と番号を付けられるはずです.この「“$0 < x < 1$” の範囲のすべての実数」を次の表にまとめます.

上の表では「“$i$” 番目の実数」の「小数第 “$j$” 位の値」を “$a_{ij}$” としています.すべての “$a_{ij}$” は $0$ から $9$ までのいずれかの整数です.

ここで,“$0 < x < 1$” を満たす何らかの実数 “$x$” を用意します.

$x \ = \ 0 . x_1 \ x_2 \ x_3 \ x_4 \ x_5 \ x_6 \ \cdots $

“$x$” の小数第1位の値である “$x_1$” は,“$x_1 \neq a_{11}$”($0 \le x_1 \le 9$)を満たすように定めます.また,小数第2位の “$x_2$” は “$x_2 \neq a_{22}$” ($0 \le x_2 \le 9$)を満たすように定めます.他の桁も同様に,“$x_i \neq a_{ii}$”($0 \le x_i \le 9$)を満たすようにします.

こうして作った実数 “$x$” は,上で挙げた「実数1」とは異なる値になります(小数第1位の値が違う).また,「実数2」とも異なります(小数第2位の値が違う).以下同様に考えると,この “$x$” は上の表にあるすべての実数と異なることになります.

しかし,最初の仮定より「“$0 < x < 1$” の範囲の実数」は上の表にすべて書いてあるはずです.この表の中に無い “$x$” という実数が存在することは,仮定と矛盾します.よって,そもそも最初の仮定が間違っており「実数 “$\mathsf{R}$” は可算無限集合ではない」ということになります.すなわち,実数 “$\mathsf{R}$” は「非可算無限集合」です.

整数 “$\mathsf{Z}$” や有理数 “$\mathsf{Q}$” とは異なり,実数 “$\mathsf{R}$” には「連続性」という非常に重要な性質があるのでした.実数 “$\mathsf{R}$” だけは明らかに「集合としての濃さ」が違うイメージです.以上の証明により,この感覚を「実数 “$\mathsf{R}$” は非可算無限集合である」という一言で表現できました.

実数 “$\mathsf{R}$” のほとんどは無理数

有理数 “$\mathsf{Q}$” は実数 “$\mathsf{R}$” の部分集合ですが,ここまで見たとおり,有理数 “$\mathsf{Q}$” は「可算無限集合」で実数 “$\mathsf{R}$” は「非可算無限集合」です.つまり,有理数 “$\mathsf{Q}$” と実数 “$\mathsf{R}$” では「集合としてのサイズ感」がまったく異なります(実数 “$\mathsf{R}$” の方がはるかに「濃い」).その様子を違った角度から眺めてみます.

“$0 < x < 1$” の範囲の有理数を考えます.有理数 “$\mathsf{Q}$” は「可算無限集合」なので,1つ1つの有理数に番号をつけて “$a_1 ,\ a_2 ,\ a_3 ,\ \cdots $” と並べることができます.

ここで,“$a_1$” を中心とした幅 “$\varepsilon$” の区間 “$a_1 - \varepsilon/2 \le x \le a_1 + \varepsilon/2 $” を考えます.次に,“$a_2$” を中心とした幅 “$\varepsilon/2$” の区間 “$a_2 - \varepsilon/4 \le x \le a_2 + \varepsilon/4$” を考えます.以下,同様に有理数 “$a_n$” を中心とした幅 “$\varepsilon/2^{n-1}$” の区間 “$a_n - \varepsilon/2^{n} \le x \le a_n + \varepsilon/2^{n}$” を考えていきます.

こうして考えた区間全体の「幅」は,次のように初項 “$\varepsilon$”,公比 “$1/2$” の「等比級数」の値として求められます.

$\begin{eqnarray*}\varepsilon + \cfrac{\varepsilon}{2} + \cfrac{\varepsilon}{4} + \cdots \ &=& \ \cfrac{\varepsilon}{ 1 - (1/2)} \\ \ &=& \ 2 \varepsilon \end{eqnarray*}$

いま考えた有理数 “$a_i$” を囲む領域は,それぞれが重なりあっている可能性もあります.よって上式より,“$0 < x < 1$” の範囲の有理数をすべてつなげた「幅」は,たかだか “$2\varepsilon$” 程度になると考えられます.

ここまでの設定から明らかなように,“$\varepsilon$” をいくら小さくしても各区間の中には有理数 “$a_i$” が必ず含まれます.よって,「有理数が存在する範囲をつなげた “幅” はいくらでも小さくできる」と言えます.ここで “$\varepsilon \to 0$” の極限をとれば,「“$0 < x < 1$” の範囲の有理数が存在する “幅” は $0$ である」という結論が得られます.

無限にある有理数全体の「幅」が $0$ だというのは違和感があるかもしれませんが,可算無限集合の要素というのはそれだけ「薄い」ものとしてイメージできます.以上のことから,実数 “$\mathsf{R}$” のほとんどすべての部分は「無理数」で占められていると考えられます.

実数 “$\mathsf{R}$” において有理数 “$\mathsf{Q}$” は「稠密」

ここまでの話から,実数 “$\mathsf{R}$” の中における有理数 “$\mathsf{Q}$” の分布は「スカスカ」だと思われるかもしれません.しかし,そのようなイメージはあまり妥当ではありません.実際,「任意の異なる実数の間には必ず何らかの有理数が存在する」ことが知られています.これを有理数 “$\mathsf{Q}$” の「稠密性」(ちゅうみつせい)といいます.

以下,有理数 “$\mathsf{Q}$” の稠密性を簡単に証明してみます.

任意の実数 “$x$”,“$y$” を用意します.ただし “$x < y$” とします.ここで,次式を満たす自然数 “$b$” を用意します(差 “$y-x$” がどんなに小さくても,それに対応して自然数 “$b$” を十分に大きくすれば次式を満たせる).

$1 \ < \ b \cdot (y - x)$

上式を変形すると “$bx+1 < by$” という式が得られます.

また,いま使った自然数 “$b$” と実数 “$x$” の積 “$bx$” を考えます.一般に,この “$bx$” は何らかの小数になります(“$x$” が整数の場合のみ “$bx$” も整数になる).ここで,“$bx$” の整数部分と “$a-1$” が一致するような整数 “$a$” を用意します.つまり,次式が成り立つような整数 “$a$” を考えます.

$ a-1 \ \le \ bx \ < \ a$

上式を変形すると “$bx < a \le bx+1$” という式が得られます.

ここまでに作った2つの不等式を組み合わせると,次式が得られます.

$bx \ < \ a \ \le \ bx+1 \ < \ by$

上式の各辺を “$b$” で割ると,次式が得られます(ただし “$(bx+1)/b$” の項は使わないので省略する).

$x < \cfrac{a}{b} < y$

上式において “$a$” は整数,“$b$” は自然数なので,“$a/b$” は「有理数」になります.よって,上式より「実数 “$x$” と “$y$” の差がどれだけ小さくても,その間には必ず何らかの有理数 “$a/b$” が存在する(そのような有理数を適当に作れる)」ことが証明できました.

どんな実数に対しても,その「すぐ近く」には必ず(その実数と非常に近い値の)有理数があります.この様子を指して,「実数 “$\mathsf{R}$” において有理数 “$\mathsf{Q}$” は稠密(ちゅうみつ)である」と表現します.有理数は決して「スカスカ」ではなく,どちらかと言えば「実数 “$\mathsf{R}$” の中にびっしりと詰まっている」といったイメージになります.ただ,無理数全体の集合の方が圧倒的に「濃い」ので,相対的に有理数 “$\mathsf{Q}$” の方が薄く見えるというだけです.

複素数

虚数単位 “$j$” の導入

最初に,「$2$乗すると $-1$ になる数」として「虚数単位」(imaginary unit)“$j$” を導入します.

$j^{\ 2} \ = \ -1$

一般的な数学の本では虚数単位を “$i$” で表しますが,工学系(電気電子工学など)では “$j$” をよく使います.Pythonのソース・コードでも虚数単位を "j" で表記するので,ここでは “$j$” を使って話を進めます.

なお,「虚数単位 “$j$” は本当にあるのか?」などという問いはナンセンスです.“$j$” は単なる「$2$乗すると $-1$ になる記号」です.それ以上の意味はありません.この「記号」を使って矛盾なく論理を展開できるなら何の問題もありません.ただの「便利な道具」として使うまでです.

「複素数」の定義

「複素数」(complex number)とは,実数 “$a$” と “$b$” を使って “$a \ + \ j b$” という形式で表される数を指します.複素数全体の集合は “$\mathsf{C}$” や “$\mathbb{C}$” で表します.

$\mathsf{C} \ = \ \left\{ \ a + j b \ \ \left| \right. \ \ a\in \mathsf{R}, \ b \in \mathsf{R} \ \right\}$

複素数 “$a + j b$” のうち,“$a$” の部分を「実部」,“$b$” の部分を「虚部」といいます.虚部がゼロ($b=0$)の複素数は単なる実数 “$a$” です.このことから,実数 “$\mathsf{R}$” は複素数 “$\mathsf{C}$” の部分集合だと言えます.また,実部がゼロ($a=0$)の複素数 “$jb$” は「純虚数」といいます.「実数」と「虚数」という2つのパーツ(素)を組み合わせて構成した数が「複素数」です.

2次元平面の横軸に実部,縦軸に虚部を対応させたものを「複素平面」といいます.複素平面を利用することで,複素数を視覚的にわかりやすく扱えるようになります.複素平面は,物理学や工学などの応用分野で非常に便利な道具として使われています.詳しい内容は 初等関数と微分・積分 のセミナで解説しています.

複素数と方程式

一般に,技術者が行う「設計」や「分析」といった仕事の多くは,次のような「$n$次方程式」を解く作業に帰着します.

$a_nx^n + a_{n-1} x^{n-1} + \cdots + a_1 x + a_0 \ = \ 0$

このような方程式の一例として,中学校で習う「2次方程式」を考えます.

$ax^2 + bx + c \ = \ 0$

上式を平方完成して解くと,次の形が得られます(いわゆる「解の公式」).

$x \ = \ \cfrac{-b \pm \sqrt{b^2 - 4ac}}{2a} $

ここで,上式の “$b^2 - 4ac$” の部分が「負の値」になる場合を考えます.

実数 “$\mathsf{R}$” の範囲では「$2$乗すると負になる数」が存在しないので,“$\sqrt{b^2 - 4ac}$” ($b^2 - 4ac < 0$) という数を扱うことができません.このように,中学校レベルの簡単な2次方程式であっても,すべての解を表現するには「実数 “$\mathsf{R}$” だけでは足りない」という話になります.

そこで,考える数の範囲を複素数 “$\mathsf{C}$” まで拡張します.虚数単位 “$j$” は “$j = \sqrt{-1}$” を満たすので,“$\sqrt{b^2 - 4ac} = j \ \sqrt{4ac - b^2}$” と変形できます.これなら根号の中身($4ac - b^2$)が正の値になるので,計算を進めることができます.結局,この場合の解は次のようになります.

$x = \cfrac{-b \pm j \ \sqrt{4ac - b^2}}{2a}$

以上のことから,2次方程式が持ち得るすべての解を表現するには複素数 “$\mathsf{C}$” まで数を拡張する必要があります.なお,「一般の$n$次方程式は複素数 “$\mathsf{C}$” の範囲で “$n$” 個の解を持つ」ことが知られています(代数学の基本定理).よって,「方程式を解く」という非常に実用的・実務的な問題を扱う上で,複素数 “$\mathsf{C}$” を導入することは必須となります.

また,電子回路の設計やロボットの制御,リアルタイム信号処理,データ分析といった様々な分野で幅広く使われる 「オイラーの公式」 でも,複素数が重要な役割を果たします.このように,虚数単位 “$j$” や複素数 “$\mathsf{C}$” は想像上の(= “imaginary”)単なる記号にとどまらず,実用的な分野で大いに役立つ道具として利用されています.