リニア・テック

ログイン

カート

ホーム理論メモ和の記号 $\Sigma$ と積の記号 $\Pi$

和の記号 “$\Sigma$” と積の記号 “$\Pi$”

インデックス

数多くの項からなる「たし算」や「かけ算」を表すときに便利な “$\Sigma$” や “$\Pi$” といった記号の使い方を解説します.また,実際によく使う「総和の公式」をいくつか導出します.

和の記号 “$\Sigma$”(シグマ)の定義

次のように,数を並べたものを「数列」(すうれつ,sequence)といいます.

$1,\ 2,\ 3,\ 4,\ 5$

上記の数列の「総和」を “$S$” とします.なお,“$S$” は「和」を表す英単語 "Sum" の頭文字です.

$S \ = \ 1 + 2 + 3 + 4 + 5 \ = \ 15$

ここで,「数列の総和」を表す記号として “$\Sigma$”(シグマ)を導入します.“$\Sigma$” はアルファベットの "S" に相当するギリシア文字です.“$\Sigma$” を使って上記の「数列の和」を表すと,次のようになります.

① “$\Sigma$” の下側に,たし算の回数をカウントとするための変数(ダミー変数)とその初期値を定義します.プログラムを書く人にとっては,「ループ変数」と言った方がわかりやすいかもしれません.今回は “$k$” という変数を使い,“$1$” からカウントを開始します.

② “$\Sigma$” の上側にはカウント用の変数の終了値を設定します.今回は “$k=5$” まで数えます.

③ “$\Sigma$” の後に,総和を求める対象の式を記述します.今回は単に “$k$” と書いてあるので,カウント用の変数 “$k$” の値そのものを順番に加算します.初期値の “$k=1$” から始めて,終了値の “$k=5$” になるまで “$k$” の値を $1$ ずつ増やしていきます.

次式のように “$\Sigma$” の後に定数(今回は “$2$”)が書いてある場合は,単純にその値を指定の回数だけ加算します.

$\begin{eqnarray*}\sum^{3}_{k=1} \ 2 \ = \ 2 + 2 + 2 \ = \ 6 \end{eqnarray*}$

カウント用変数の初期値は,好きな値(通常は整数の範囲)を設定できます.例えば,数列 “$3^2,\ 4^2,\ 5^2,\ 6^2$” の総和は次のように書けます.

$\begin{eqnarray*} \sum^{6}_{k=3} \ k^2 \ = \ 3^2 + 4^2 + 5^2 + 6^2 \ = \ 86 \end{eqnarray*}$

「等差数列」の和

次のように,「隣の項との差」が常に一定である数列を「等差数列」(とうさ すうれつ,arithmetic sequence)といいます.

$2,\ 6,\ 10,\ 14,\ 18,\ 22,\ 26,\ 30$

数列の最初の項を「初項」といいます.上記の数列の初項は “$2$” です.また,等差数列における隣の項との差を「公差」といいます.上記の数列の公差は “$4$” です.

一般に,初項が “$a$”,公差が “$d$” の等差数列は次のように書けます.

$a,\ a+d,\ a+2d,\ a+3d,\ \ \cdots $

ここで,次のような等差数列の初項 “$a$” から第$n$項 “$a + (n-1)\cdot d$” までの総和を “$S$” とします(ただし “$n$” は 自然数 とする).これから,この総和 “$S$” の値を一発で求めるための「公式」を作ります.

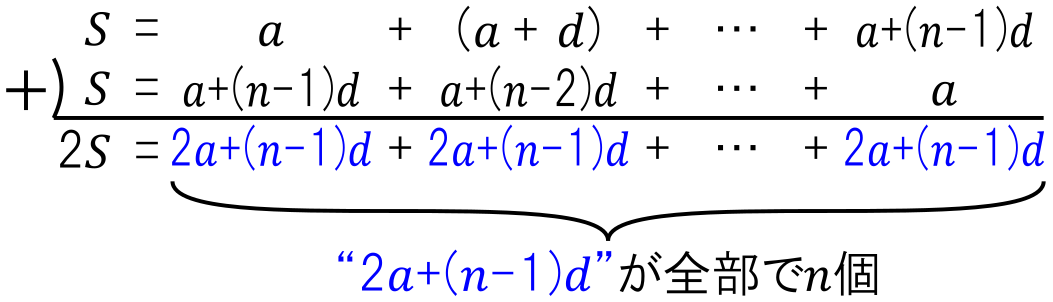
$\begin{eqnarray*} S \ &=& \ \sum^{n}_{k=1} \left\{ \ a + (k-1) \cdot d \ \right\} \\ \ &=& \ a + (a+d) + (a+2d) + (a+3d) + \ \cdots \ + \left\{ a + (n-1) d \right\} \end{eqnarray*}$

まず,次図のように「総和 “$S$” と “$S$” の和」(つまり “$2S$” になる)を考えます.ただし,2つめ(下段)の “$S$” は各項を逆順に並べています.

上図より,次式が得られます.

$2S \ = \ n \cdot \left\{ 2a + (n-1) d \right\}$

上式の両辺を $2$ で割れば,「初項“ $a$”,公差 “$d$” の等差数列の第$n$項までの総和を求める公式」が得られます.

$\begin{eqnarray*} S \ &=& \ \sum^{n}_{k=1} \left\{ \ a + (k-1) \cdot d \ \right\} \\ \ &=& \ \cfrac{1}{2} n \left\{ \ 2a + (n-1) d \ \right\} \end{eqnarray*}$

“$1 + 2 + 3 + \cdots + n$” の公式

次式のような,“$1$” から “$n$” まで $1$ ずつ増える数列の総和を考えます.

$S \ = \ 1 + 2 + 3 + \cdots + n$

これは初項が “$a=1$”,公差が “$d=1$” の等差数列の和です.よって,先ほど作った「等差数列の総和の公式」を利用すると次式が得られます.

$\begin{eqnarray*} S \ &=& \ \cfrac{1}{2} n \left\{ 2 \cdot 1 + (n-1) \cdot 1 \right\} \\ \ &=& \ \cfrac{1}{2} n (n+1) \end{eqnarray*}$

“$\Sigma$” を使った形で書くと,上式は次のように表せます.

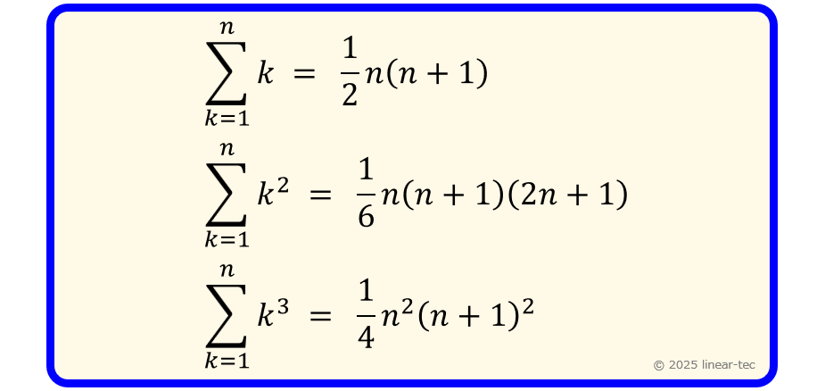
$\begin{eqnarray*} \sum^{n}_{k=1} \ k \ = \ \cfrac{1}{2} n (n+1) \end{eqnarray*}$

“$1^2 + 2^2 + 3^2 + \cdots + n^2$” の公式

次の数列の和を計算する公式を作ります.

$\begin{eqnarray*} 1^2,\ 2^2,\ 3^2,\ \cdots , \ n^2 \end{eqnarray*}$

上式の総和を求める準備として,「“$(k+1)^3$” と “$k^3$” の差」を考えます.

$(k+1)^3 - k^3 \ = \ 3k^2 + 3k + 1$

上式に対して “$k=1$”,“$k=2$”,“$k=3$”,... ,“$k=n$” を代入し,すべてをたし合わせると次のようになります.

上式を “$3 \cdot \Sigma k^2$” について整理すると,次式が得られます.

$\begin{eqnarray*} 3 \cdot \sum^{n}_{k=1} \ k^2 \ &=& \ (n+1)^3 - 1^3 - 3\cdot \sum^{n}_{k=1} k - \sum^{n}_{k=1} 1 \\ \ &=& \ (n^3 + 3n^2 + 3n + 1) - 1 - 3 \cdot \cfrac{1}{2} n (n+1) - n \\ \ &=& \ n^3 + \cfrac{3}{2} n^2 + \cfrac{1}{2} n\\ \ &=& \ \cfrac{1}{2} n (n+1)(2n+1) \end{eqnarray*}$

上式の両辺を $3$ で割れば,“$\Sigma k^2 = 1^2 + 2^2 + \cdots + n^2$” の値を求める公式が得られます.

$\begin{eqnarray*} \sum^{n}_{k=1} \ k^2 \ = \ \cfrac{1}{6} n (n+1) (2n+1) \end{eqnarray*}$

“$1^3 + 2^3 + 3^3 + \cdots + n^3$” の公式

次の数列の和を計算する公式を作ります.

$\begin{eqnarray*} 1^3,\ 2^3,\ 3^3,\ \cdots ,\ n^3 \end{eqnarray*}$

上式の総和を求める準備として,「“$(k+1)^4$” と “$k^4$” の差」を考えます.

$(k+1)^4 - k^4 \ = \ 4k^3 + 6k^2 + 4k + 1$

上式に対して “$k=1$”,“$k=2$”,“$k=3$”,... ,“$k=n$” を代入し,すべてをたし合わせると次のようになります.

上式を “$4 \cdot \Sigma k^3$” について整理すると,次式が得られます.

$\begin{eqnarray*} 4 \cdot \sum^{n}_{k=1} \ k^3 \ &=& \ (n+1)^4 - 1^4 - 6\cdot \sum^{n}_{k=1} \ k^2 - 4 \cdot \sum^{n}_{k=1} \ k - \sum^{n}_{k=1} \ 1 \\ \ &=& \ (n^4 + 4n^3 + 6n^2 + 4n + 1) - 1 - 6\cdot \cfrac{1}{6} n(n+1)(2n+1) - 4\cdot \cfrac{1}{2}n(n+1) - n \\ \ &=& \ n^4 + 2n^3 + n^2 \\ \ &=& \ n^2 (n+1)^2 \end{eqnarray*}$

上式の両辺を $4$ で割れば,“$\Sigma k^3 = 1^3 + 2^3 + \cdots + n^3$” の値を求める公式が得られます.

$\begin{eqnarray*} \sum^{n}_{k=1} \ k^3 \ = \ \cfrac{1}{4} n^2 (n+1)^2 \end{eqnarray*}$

ここまでの例からわかるとおり,一般に “$\Sigma k^m$” の公式を作りたい時は「“$(k+1)^{m+1}$” と “$k^{m+1}$” の差」から話を始めるとうまくいきます.

「等比数列」の和

次のように,「隣の項との比」が常に一定である数列を「等比数列」(とうひ すうれつ,geometric sequence)といいます.

$1,\ 2,\ 4,\ 8,\ 16,\ 32,\ 64,\ 128,\ 256$

等比数列における隣の項との比を「公比」といいます.上記の数列の公比は “$2$” です.

一般に,初項が “$a$”,公比が “$r$” の等比数列は次のように書けます.

$a,\ ar,\ ar^2,\ ar^3,\ \cdots$

ここで,等比数列の初項 “$a$” から第$n$項 “$a r^{n-1}$” までの総和を “$S$” とします.これから,この総和 “$S$” の値を一発で求めるための「公式」を作ります.

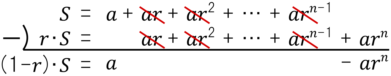
$\begin{eqnarray*} S \ &=& \ \sum^{n}_{k=1} \ ar^{k-1} \\ \ &=& \ a + ar + ar^2 + ar^3 + \cdots + ar^{n-1} \end{eqnarray*}$

まず,次図のように「総和 “$S$” と “$r \cdot S$” の差」を考えます.

上図より,次式が得られます.

$\begin{eqnarray*} (1-r) \cdot S \ = \ a - a \cdot r^{n} \end{eqnarray*}$

上式の両辺を “$(1-r)$” で割れば,「初項 “$a$”,公比 “$r$” の等比数列の第$n$項までの総和を求める公式」が得られます.

$\begin{eqnarray*} S \ = \ \sum^{n}_{k=1} \ ar^{k-1} \ = \ a \cdot \cfrac{1-r^n}{1-r} \end{eqnarray*}$

なお,公比が “$|r| < 1$” を満たす場合は “$r^n \to 0$”($n \to \infty$)が成り立つので,「無限に続く等比数列の総和」(これを「等比級数」という)は次式で計算できます.この式は様々な分野でよく使います.

$\begin{eqnarray*} \sum^{\infty}_{k=1} \ ar^{k-1} \ = \ \ \lim_{n \to \infty } a \cdot \cfrac{1-r^n}{1-r} \ = \ \cfrac{a}{1-r} \end{eqnarray*}$

積の記号 “$\Pi$”(パイ)の定義

ここまで考えた “$\Sigma$” は「たし算を繰り返し実行する記号」でした.ここでは「かけ算を繰り返し実行する記号」として,“$\Pi$” (パイ)を導入します.

$\begin{eqnarray*} \prod^{n}_{k=1} \ a_k \ = \ a_1 \cdot a_2 \cdot a_3 \ \cdots \ a_n \end{eqnarray*}$

上記の演算は数列の「総乗」(そうじょう)と呼ばれます.なお,“$\Pi$” は円周率を表すギリシア文字 “$\pi$” の大文字で,アルファベットの "P" に相当します.英語で「積」のことを "Product" というため,"P" に対応するギリシア文字が総乗の記号として使われています.

簡単な例として,数列 “$1,\ 2,\ 3,\ 4,\ 5$” の「総乗」は次のように書けます.

$\begin{eqnarray*} \prod^{5}_{k=1} k \ = \ 1 \cdot 2 \cdot 3 \cdot 4 \cdot 5 \ = \ 120 \end{eqnarray*}$

総乗の記号 “$\Pi$” は,次のように「因数分解された形の多項式」を表す時にもよく使います.

$\begin{eqnarray*} \prod^{3}_{k=1} \ (x - a_k) \ = \ (x - a_1)(x - a_2)(x - a_3) \end{eqnarray*}$